寒冷地では人間の体格が大きくなり、温暖地では小さくなると言われる「ベルクマンの法則」。
これは本当に人間にも当てはまるのか、気候は体型にどのような影響を与えるのか、多くの人が疑問に思う点です。
この記事では、ベルクマンの法則と人間の体型の関係、例外となるケース、現代社会での影響を解説します。
本記事を読むことで、気候と体格の関係を科学的に理解し、人種や地域ごとの体型差の理由を知ることができます。
- ベルクマンの法則が人間にどの程度適用されるか
- 気候が人間の体格や身長に与える影響
- 人種や地域ごとの体型の違いと進化の関係
- 例外や現代社会での影響の変化
ベルクマンの法則は人間に当てはまるのか?

- ベルクマンの法則とは?なぜ成立するのか
- 北の地域で体が大きくなる法則の科学的根拠
- ベルクマンの法則とアレンの法則・グロージャーの法則の関係
- 日本人にもベルクマンの法則は当てはまるのか?
- アフリカの人々はベルクマンの法則に当てはまらない?
- ベルクマンの法則が当てはまらない例とその理由
ベルクマンの法則とは?なぜ成立するのか
ベルクマンの法則とは、寒冷地に生息する恒温動物は体が大きく、温暖な地域に生息する同種の動物は体が小さくなる傾向があるという法則です。
これは1847年にドイツの生物学者カール・ベルクマンによって提唱され、哺乳類や鳥類などの恒温動物に適用されることが多いです。
この法則の背景には、表面積と体積の比率(表面積対体積比)が関係しています。
体が大きくなると体積に対する表面積の比率が小さくなり、熱を逃がしにくくなります。

これにより、寒冷地では大型化することが有利になり、結果的に北方の動物ほど大きな体を持つ傾向があるのです。
一方で、温暖な地域では熱を効率的に放散する必要があるため、体が小さくなる方が適応的です。
小さい体は相対的に表面積が大きいため、熱を素早く放出できるからです。
ただし、ベルクマンの法則がすべての動物に当てはまるわけではありません。
例えば、人間の場合は生活環境や栄養状態、文化的要因も体格に影響を与えるため、気候だけで説明できるものではありません。
ベルクマンの法則は基本的な適応の傾向を示す法則ですが、例外も存在します。
北の地域で体が大きくなる法則の科学的根拠
寒冷地に住む動物や人間の体が大きくなるのは、進化的な適応によるものです。
主な要因として、「熱の放散を抑えるための適応」「遺伝的要因」「食生活や栄養状態」の3つが挙げられます。
まず、寒冷地では熱を保持することが生存において重要です。
体が大きくなると表面積対体積比が小さくなり、相対的に熱を逃がしにくくなります。
そのため、寒冷地の動物は体が大きくなる傾向があります。
次に、遺伝的な影響も大きいと考えられます。
例えば、北極圏のイヌイットや北欧の人々は、一般的にがっしりとした体格を持っています。
これは、長期間寒冷地で生息してきたことで、熱を逃がしにくい体型の遺伝的特性が強化されてきたためです。
また、脂肪の分布や筋肉量の違いも、寒冷地での生存に適応した結果と考えられます。
さらに、食生活や栄養状態も関係しています。
寒冷地域では肉や乳製品を多く摂取する文化が根付いており、それが成長を促す要因になっています。
例えば、北欧の国々では乳製品の摂取量が多く、結果的に平均身長が高くなっています。
一方、温暖な地域では炭水化物中心の食生活が多く、体格の違いに影響を与えている可能性があります。
ベルクマンの法則とアレンの法則・グロージャーの法則の関係
ベルクマンの法則、アレンの法則、そしてグロージャーの法則は、動物が環境に適応するために進化してきた生理的特性を説明する重要な生態学的理論です。
これらの法則はそれぞれ異なる側面から動物の適応メカニズムを示していますが、共通して環境に対する進化的適応の結果を明らかにしています。
これらの法則を理解することは、動物がどのようにして厳しい環境に適応して生存してきたのか、そしてその進化的背景を知るための手がかりとなります。
ベルクマンの法則は、寒冷地に生息する恒温動物は体が大きくなる傾向があることを説明しています。
この法則の背景には、体積と表面積の比率が関係しています。
動物の体が大きくなると、表面積対体積比が小さくなり、その結果、熱を効率よく保持することができるため、寒冷な地域に生息する動物は大型化するのが有利とされます。
これに対して、温暖な地域では熱を効率的に放散することが重要になるため、体が小さい方が適応的であり、そのため温暖地に住む動物は一般的に小型化します。
つまり、ベルクマンの法則は、動物の体格がその生息する地域の温度にどのように適応しているのかを示す法則です。
次にアレンの法則について考えます。
アレンの法則は、寒冷地に生息する動物ほど耳や尾、四肢などの突出部分が短くなるという法則です。
この法則の背後には、熱の放散を抑えるための適応が働いています。
寒冷地では、体から熱が逃げるのを最小限に抑えることが重要であり、突出した部位が短くなることで熱を保持することができます。
具体例として、北極圏に生息するホッキョクギツネは、温暖な地域に生息するフェネックギツネよりも耳が小さいです。
これは、寒冷地で耳が大きいと熱が過剰に放散されるため、耳を小さくすることで効率的に熱を保持できるためです。
このように、アレンの法則は、動物の体の形がその生息地の気温にどのように適応しているかを説明します。
また、グロージャーの法則も環境に対する動物の適応を説明する重要な法則です。
グロージャーの法則は、湿度が高い環境に生息する動物ほど体色が濃くなる傾向があることを示しています。
湿度が高い地域では、カビや細菌が繁殖しやすく、そのため体がより多くのメラニン色素を含むように進化することで、これらの病原菌に対する耐性を強化することができます。
例えば、赤道付近に生息する動物は黒や茶色の体色を持っていることが多く、乾燥した地域に生息する動物は比較的明るい色の体を持っています。
このように、グロージャーの法則は、動物の体色が生息地の湿度に適応していることを示しています。
これらの法則の共通点は、すべて動物が環境に適応し、生存のために進化してきた結果を示す点です。
特に、人間の体型にもこれらの法則が影響している可能性があると考えられます。
例えば、寒冷地に住む人々は一般的に体が大きく、四肢が短い傾向が見られる一方、温暖地に住む人々は体が細長く、四肢が長い傾向があります。
これらの特徴は、ベルクマンの法則やアレンの法則が影響している可能性が高いです。
さらに、現代の生活環境においては、衣服や住居、暖房・冷房設備の発達により、これらの法則の影響は少なくなっていますが、進化の歴史を振り返ると、これらの法則は過去の人類の体格や形質に影響を与えたと考えられます。
特に寒冷地や温暖地での適応の違いは、人種や民族ごとの体格の違いに関係していると考えられます。
例えば、北欧や北極圏に住む人々は、過去の環境適応により、体格が大きく、脂肪が効率よく分布しているとされています。
一方、温暖地域に住む人々は、熱を放散しやすい体型を持つ傾向があり、アフリカなどの熱帯地域に住む人々は、比較的細長い体型を持つことが多いです。
| 法則名 | 説明 | 適用される環境 | 進化的適応 |
|---|---|---|---|
| ベルクマンの法則 | 寒冷地に住む恒温動物は体が大きくなる傾向がある。 | 寒冷地、温暖地 | 体が大きいほど熱を保持しやすく、寒冷地に適応する。 |
| アレンの法則 | 寒冷地の動物ほど耳や尾、四肢などの突出部分が短くなる。 | 寒冷地、温暖地 | 突出部分が短いほど熱の放散を抑え、寒冷地に適応する。 |
| グロージャーの法則 | 湿度の高い環境に生息する動物ほど体色が濃くなる。 | 湿度が高い地域 | メラニン色素が多いほど細菌に対する耐性が強化され、湿度の高い環境に適応する。 |
日本人にもベルクマンの法則は当てはまるのか?
ベルクマンの法則が日本人にも適用されるかどうかについては、研究結果や統計データを基に考える必要があります。
基本的に、日本国内においても寒冷地に住む人々の方が身長が高い傾向があることが指摘されています。
文部科学省が実施した「学校保健統計調査」によると、日本国内の都道府県別の身長の平均値は、北日本の地域が高く、南日本の地域が低いという傾向が見られます。
| 平均値が高い順 | 男性 | 女性 |
|---|---|---|
| 1位 | 福井県 | 富山県 |
| 2位 | 新潟県 | 福井県 |
| 3位 | 秋田県 | 新潟県 |
| 44位 | 香川県 | 香川県 |
| 45位 | 福岡県 | 福岡県 |
| 46位 | 沖縄県 | 沖縄県 |
この現象をベルクマンの法則と関連づける場合、寒冷地では体の熱を保持するために体積が大きくなる傾向があるため、日本国内においても寒冷地に住む人の方が身長が高くなる可能性があると考えられます。
ただし、単純に気候だけが身長の違いを生む要因とは言えません。
日本国内における身長の地域差には、食生活や栄養状態、遺伝的要因、生活習慣が影響を与えている可能性もあります。
例えば、寒冷地では魚や乳製品などのタンパク質を多く摂取する文化が根付いていることが多く、成長期の栄養状態が身長に影響を与えている可能性があります。
また、日本人の平均身長は戦後から現在にかけて上昇傾向にありますが、これは気候ではなく栄養状態や生活環境の向上による影響が大きいと考えられます。
さらに、日本の社会全体が都市化し、食文化の多様化や生活習慣の変化が進んだことで、地域ごとの身長の差は過去よりも縮小している可能性もあります。
このように、日本人の身長とベルクマンの法則には一定の関連があると考えられるものの、環境要因や社会的要因も影響を及ぼしているため、一概に「寒冷地だから身長が高い」とは言い切れません。
そのため、日本人においてベルクマンの法則が完全に当てはまるかどうかは、慎重に検討する必要があります。
アフリカの人々はベルクマンの法則に当てはまらない?
アフリカの人々にベルクマンの法則が当てはまるかどうかは、地域や民族によって異なるため、一概に結論を出すことはできません。
しかし、一般的にアフリカ大陸の人々の体型は、ベルクマンの法則に完全には当てはまらないことが指摘されています。
特に、東アフリカのマサイ族やトゥルカナ族などの民族は、長身で細身の体型を持つことで知られています。
これは、ベルクマンの法則よりも「アレンの法則」が関係している可能性があります。
アレンの法則とは、寒冷地に生息する動物ほど四肢や耳などの突出部分が小さくなり、温暖地ではそれらが大きくなるという法則です。
マサイ族やトゥルカナ族のように四肢が長い体型は、熱を効率よく放散するのに適していると考えられています。
つまり、アフリカの暑い環境では、体が大きくなりすぎると熱を逃がしにくくなるため、長身で細身の体型がより適応的であった可能性があります。
また、アフリカ大陸は非常に広く、南アフリカや北アフリカのように比較的寒冷な地域も存在します。
例えば、北アフリカのベルベル人や南アフリカの一部の民族は、マサイ族ほど細身ではなく、比較的がっしりした体型の人々も多く見られます。
これらの地域では、ベルクマンの法則により体型が影響を受けている可能性もあります。
ただし、人間の体格は単純に気候だけで決まるわけではなく、遺伝的要因や文化的要素、食生活の違いも重要な影響を与えます。
例えば、アフリカでは牧畜文化を持つ民族が多く、乳製品を豊富に摂取する食文化が影響している可能性も考えられます。
一般的に東アフリカの人々は長身で細身の体型を持つため、ベルクマンの法則には完全に当てはまらないように見えますが、他の地域ではその法則が部分的に機能している可能性もあります。
結論としては、アフリカ大陸全体に対して一律にベルクマンの法則を適用することは難しく、地域ごとの気候や生活環境に応じた体型の違いを考慮する必要があるということです。
ベルクマンの法則が当てはまらない例とその理由
ベルクマンの法則は多くの哺乳類や鳥類に適用されると考えられていますが、すべてのケースに当てはまるわけではありません。
特に、人間や一部の哺乳類では、この法則が明確に適用されない例がいくつかあります。
その理由として、「遺伝的要因」「生活環境の変化」「社会的・文化的な影響」の3つの観点から考えることができます。
人間におけるベルクマンの法則の例外
人間の体型は、気候だけでなく遺伝や生活環境の影響を大きく受けます。
そのため、必ずしも寒冷地の人が大柄で温暖地の人が小柄とは言い切れません。
例えば、東アフリカのマサイ族やヌエル族のような民族は、温暖な気候に適応した長身で細身の体型を持っています。
これは、ベルクマンの法則ではなく「アレンの法則」の影響を受けていると考えられます。
四肢を長くすることで体表面積を増やし、熱を効果的に放散する形に進化したのです。
このため、「寒冷地では体が大きくなる」というベルクマンの法則とは異なる適応の仕組みが働いているといえます。
また、日本国内でも、寒冷地に住む人々のほうが必ずしも大柄とは限りません。
沖縄県民の平均身長は全国的に低めですが、北海道や東北地方と比べると顕著な差は見られません。
これは、現代社会では栄養状態や生活環境の影響が大きく、必ずしも気候によって身長や体格が決まるわけではないことを示しています。
哺乳類におけるベルクマンの法則の例外
哺乳類においても、ベルクマンの法則に当てはまらない例が見られます。
その理由の一つは、生息環境の違いによるものです。
例えば、アフリカゾウとアジアゾウを比較すると、アフリカゾウの方が大型ですが、これは気候によるものではなく、遺伝的な要因が大きく関係しています。
さらに、コウモリの仲間では、寒冷地よりも温暖な地域に生息する種の方が大型化する傾向が見られます。
これは、寒冷地では飛行時のエネルギー消費を抑えるために小型化した可能性があると考えられています。
都市化や生活習慣の影響
現代の人間社会では、衣服や住居、暖房・冷房設備の発達によって、自然環境が体格に与える影響が軽減されています。
特に、都市部では食生活が多様化し、栄養状態や運動習慣が個々の体格に大きく影響を与えています。
そのため、気候による体格の差は、過去に比べてはるかに縮小していると考えられます。
また、国際的な移動が活発になり、異なる遺伝的背景を持つ人々が交雑することも、ベルクマンの法則が人間に適用されにくい理由の一つです。
例えば、アフリカ系の遺伝子を持つ人々が寒冷地に適応しても、体格が劇的に変化するわけではありません。
このように、現代社会では気候よりも文化的・遺伝的要因が人間の体格に与える影響の方が大きいといえるでしょう。
ベルクマンの法則 人間に関する具体例と説明

- ベルクマンの法則の具体的な例を動物と比較
- 逆ベルクマンの法則とは?例外の事例も紹介
- ベルクマンの法則は高校生物でいつ習う?
- 恐竜にもベルクマンの法則は適用されるのか?
- ベルクマンの法則を計算で証明できるのか?
ベルクマンの法則の具体的な例を動物と比較
ベルクマンの法則は、動物の生息環境と体の大きさの関係を示した法則です。
この法則が適用される動物の具体例を見ていくことで、より理解を深めることができます。
まず、クマの例を見てみましょう。
クマは世界中にさまざまな種類が生息しており、その大きさは地域によって異なります。
例えば、東南アジアの熱帯地域に生息するマレーグマは体長約140cmと小型です。
一方で、寒冷地である北海道に生息するヒグマは最大で300cmに達し、さらに寒い北極圏に生息するホッキョクグマは250cmほどの大きさになります。
このように、寒い地域ほど体の大きなクマが生息しており、ベルクマンの法則が成り立っていることがわかります。
また、シカの種類を比較してみても同様の傾向が見られます。
カナダに生息するエルク(ワピチ)は体重が最大500kgにも達するのに対し、アメリカ南部のフロリダキーホワイトテールジカは体重が約45kgと非常に小型です。
寒冷な地域では体が大きくなり、温暖な地域では小さくなるというベルクマンの法則の特徴がよく表れています。
さらに、海洋哺乳類にもこの法則が適用される例があります。
例えば、寒冷な海域に生息するシャチは体長が8~9mに達することがあり、より温暖な海域に住む個体よりも大型化する傾向があります。
これは、寒い水中では体温を維持するために体積を大きくすることが有利に働くためです。
ただし、ベルクマンの法則がすべての動物に当てはまるわけではありません。
動物の進化や生態環境によっては、この法則が成り立たない例もあります。
それについては、次項で詳しく解説します。
逆ベルクマンの法則とは?例外の事例も紹介
ベルクマンの法則は主に恒温動物(哺乳類や鳥類)に適用されると考えられていますが、その逆の傾向を示す生物も存在します。
特に、変温動物(爬虫類・両生類・昆虫・魚類)では、「寒冷地では体が小さく、温暖地では体が大きくなる」というパターンが見られることがあります。
これを「逆ベルクマンの法則」と呼ぶことがあります。
変温動物における逆ベルクマンの法則
変温動物は周囲の環境温度に依存して体温が変化するため、寒冷地では成長が遅くなる傾向があります。
これにより、寒冷な地域に生息する個体は成長期間が短くなり、結果として小型化するケースが多く見られます。
例えば、日本に生息するニホンアマガエルは、北海道の個体よりも本州や九州の個体の方が大きい傾向があります。
これは、寒冷地では成長速度が遅くなるため、完全に成長する前に冬を迎えてしまうためです。
昆虫に見られる逆ベルクマンの法則
昆虫もまた、寒冷地ほど体が小さくなる傾向があります。
例えば、コオロギやスズムシなどの昆虫は、寒冷地域に行くほど成虫になったときの体が小さいことが観察されています。
寒冷地では、短い成長期間内に成熟しなければならず、その結果、温暖地の個体よりも小型になることが多いと考えられます。
魚類における温度と体の大きさの関係
魚類にも逆ベルクマンの法則が当てはまるケースがあります。
一般的に、温暖な海域に生息する魚の方が、寒冷地に生息する魚よりも大きくなる傾向があります。
これは「温度-サイズ則(Temperature-Size Rule)」と呼ばれる現象の一部で、温暖な環境では代謝が活発になり、成長速度が速くなるため、大型化しやすくなるためです。
例えば、熱帯海域に生息するマグロ類は、大型になる種が多い一方、寒冷海域の魚は比較的小型の種が多いことが知られています。
ベルクマンの法則は高校生物でいつ習う?
ベルクマンの法則は、生物学の中でも「生態学」や「進化の適応」に関する分野で扱われる概念です。
日本の高校生物では、一般的に「高校生物基礎」や「生物」の授業で学ぶ可能性がありますが、明確に教科書に登場するかどうかは、使用する教材によって異なります。
高校生物のカリキュラムでは、主に次のような単元でベルクマンの法則と関連する内容が登場します。
- 生物の適応と進化
この単元では、動物が環境に適応するための進化の仕組みを学びます。ベルクマンの法則は、寒冷地で体が大きくなるという適応の例として取り上げられることがあり、アレンの法則(寒冷地の動物ほど耳や尾が短くなる)とともに紹介されることが多いです。 - 恒温動物と変温動物の違い
ここでは、動物の体温調節の仕組みを学ぶ際に、寒冷地での体温保持の方法としてベルクマンの法則が紹介される場合があります。また、逆ベルクマンの法則に当てはまる変温動物の例も説明されることがあります。 - 生態系と生物の分布
生態学の分野では、動物がどのように環境に適応しながら進化してきたのかを学びます。その中で、寒冷地と温暖地での体の大きさの違いを説明するためにベルクマンの法則が登場することがあります。
ただし、ベルクマンの法則自体が高校生物の必修内容として詳しく説明されるわけではなく、授業ではあくまで例として軽く触れられることが多いです。
特に、大学受験で生物を選択する場合には、進化や適応の具体例として知っておくと役立つ知識となるでしょう。
もし高校生の段階でさらに詳しく学びたい場合は、大学の生物学や動物学の講義で扱われることが多いため、進学後により深く学ぶ機会があるかもしれません。
高校の生物部や科学クラブなどの活動の中で、自主的に調査してみるのも良い方法です。
いずれにしても、ベルクマンの法則は生物の適応の仕組みを理解する上で重要な概念の一つであり、進化や生態学に興味がある人にとっては知っておくと面白い知識となるでしょう。
恐竜にもベルクマンの法則は適用されるのか?
恐竜にもベルクマンの法則が適用されるのかどうかは、古生物学において議論されているテーマの一つです。
現存する哺乳類や鳥類にはこの法則が当てはまる例が多く見られますが、絶滅した恐竜に関しては直接的な証拠を集めることが難しいため、間接的なデータから推測するしかありません。
恐竜の化石記録を分析すると、特定の種においては寒冷な環境に生息する個体の方が大型化していた可能性があります。
例えば、ティラノサウルス類の仲間である ナヌークサウルス(Nanuqsaurus hoglundi) は、現代のアラスカ地域に生息していたとされる小型のティラノサウルス類で、寒冷地に適応していた可能性が指摘されています。
もしティラノサウルス類の中でも寒冷地に生息する個体の方が大型化する傾向があれば、ベルクマンの法則が適用される証拠になり得ます。
また、ジュラ紀や白亜紀の恐竜化石の分布を見ても、北半球の寒冷地域には比較的大型の恐竜が生息していた例があります。
例えば、エドモントサウルス(Edmontosaurus) や パキリノサウルス(Pachyrhinosaurus) などの草食恐竜は、寒冷な地域で進化し、比較的大型化していた可能性があります。
これは、現代の哺乳類や鳥類と同様に、体を大きくすることで熱の放散を抑え、寒冷地に適応した結果であると考えられます。
ただし、すべての恐竜にベルクマンの法則が当てはまるわけではありません。
恐竜の中には羽毛を持つものもおり、体温調節の方法が異なっていた可能性があります。
また、変温動物的な性質を持つ恐竜もいたと考えられており、そうした恐竜にはこの法則が適用されない可能性が高いです。
恐竜にベルクマンの法則が適用される可能性はあるものの、すべての恐竜に当てはまるわけではなく、種ごとの適応戦略を考慮する必要があります。
今後、さらなる化石の発見や研究によって、より明確な答えが出るかもしれません。
ベルクマンの法則を計算で証明できるのか?
ベルクマンの法則が実際に成立するかどうかは、数学的な計算を用いて証明することも可能です。
主に、表面積と体積の比率の関係(表面積対体積比) を計算することで、この法則の妥当性を示すことができます。
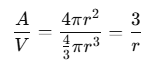
基本的な計算方法としては、球体を仮定して考えるのが一般的です。
仮に動物の体を球体と考えると、体積 V と表面積 A は次のように表されます。

ここで、体の大きさを決める要因となる「表面積対体積比」は以下のようになります。

この式から分かるように、半径 r が大きくなるほど、表面積対体積比は小さくなることがわかります。
つまり、体が大きいほど熱を逃がしにくくなり、寒冷地では大型の個体が生存に有利になるというベルクマンの法則を数学的に説明することができます。
ただし、この計算は理論的なモデルに過ぎず、実際の動物の形状や代謝の違いを考慮すると、さらに複雑な要素が関与する可能性があります。
そのため、数式だけで完全に証明するのは難しく、実際のデータと組み合わせて検証することが重要になります。
ベルクマンの法則 人間の適用と影響を総括
ベルクマンの法則は、人間の体格にも一定の影響を与えている可能性がありますが、遺伝や生活環境、食生活などの要因も大きく関係しています。
現代では人工環境の影響が強まり、気候による体型の違いは以前ほど顕著ではなくなっています。
しかし、進化の視点から体格の変化を考えることで、人間の適応の歴史をより深く理解できるでしょう。
- ベルクマンの法則は寒冷地で体が大きくなる傾向を示す
- 人間にも一定の適用例があり、寒冷地の集団ほど体格が大きい傾向がある
- 熱の放散を抑えるために、体積が大きい方が寒冷地では有利
- 温暖地では熱を効率よく逃がすため、細身で長身の体型が適応しやすい
- イヌイットや北欧の人々はがっしりとした体格を持つ
- マサイ族やトゥルカナ族は長身で細身の体型を持つ
- 栄養状態や生活習慣も体格の地域差に影響を与える
- 現代の人工環境により、法則の影響は弱まっている
- 都市化により、食文化の多様化が体格差の要因となる
- 地球温暖化により、将来的に法則の適用範囲が変わる可能性がある
- 動物では一般的に当てはまるが、すべての人間に適用できるわけではない
- 遺伝的要因が強く、気候のみで体格を決定づけることはできない
- 変温動物には逆の傾向が見られ、温暖地の個体が大きくなることが多い
- 科学的な研究によって、法則の適用範囲がさらに明らかになりつつある
- ベルクマンの法則は進化や生態学を理解する上で重要な視点となる






